Mark against the correct answer in the following:

Question:

Mark $(\sqrt{)}$ against the correct answer in the following:

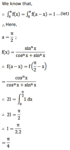
$\int_{0}^{\pi / 2} \frac{\sin ^{n} x}{\left(\sin ^{n} x+\cos ^{n} x\right)} d x=?$

A. $\frac{\pi}{2}$

B. $\frac{\pi}{4}$

C. 1

D. 0

Solution:

Leave a comment