Mark against the correct answer in the following:

Question:

Mark $(\sqrt{ })$ against the correct answer in the following:

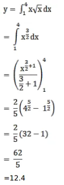
$\int_{1}^{4} \mathrm{x} \sqrt{\mathrm{x}} \mathrm{dx}=?$

A. $12.8$

B. $12.4$

C. 7

D. none of these

Solution:

Leave a comment