Mark against the correct answer in the following:

Question:

Mark $(\sqrt{)}$ against the correct answer in the following:

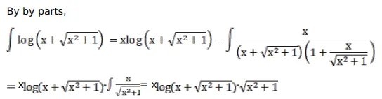
$\int_{-1}^{1} \log \left(x+\sqrt{x^{2}+1}\right) d x=?$

A. $\log \frac{1}{2}$

B. $\log 2$

C. $\frac{1}{2} \log 2$

D. 0

Solution:

Leave a comment