Mark against the correct answer in the following:
Question:
Mark $(\sqrt{ })$ against the correct answer in the following:
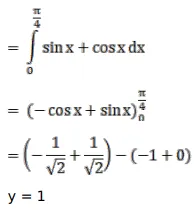
$\int_{0}^{\pi / 4} \sqrt{1+\sin 2 x} d x=?$
A. 0
B. 1
C. 2
D. $\sqrt{2}$
Solution:

