Mark against the correct answer in the following:

Question:

Mark $(\sqrt{)}$ against the correct answer in the following:

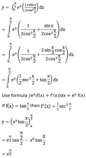
$\int_{0}^{\pi / 2} e^{x}\left(\frac{1+\sin x}{1+\cos x}\right) d x=?$

A. 0

B. $\frac{\pi}{4}$

C. $\mathrm{e}^{\pi / 2}$

D. $\left(\mathrm{e}^{\pi / 2}-1\right)$

Solution:

Leave a comment