Question:
Mark $(\sqrt{)}$ against the correct answer in the following:
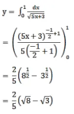
$\int_{0}^{1} \frac{\mathrm{dx}}{\sqrt{5 \mathrm{x}+3}}=?$
A. $\frac{2}{5}(\sqrt{8}-\sqrt{3})$
B. $\frac{2}{5}(\sqrt{8}+\sqrt{3})$
C. $\frac{2}{5} \sqrt{8}$
D. none of these
Solution:
