Mark against the correct answer in the following:

Question:

Mark $(\sqrt{ })$ against the correct answer in the following:

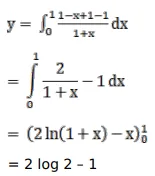
$\int_{0}^{1} \frac{(1-x)}{(1+x)} d x=?$

A. $(\log 2+1)$

B. $(\log 2-1)$

C. $(2 \log 2-1)$

D. $(2 \log 2+1)$

Solution:

Leave a comment