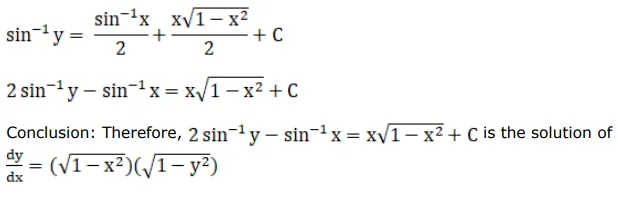
Question:
Mark $(\sqrt{)}$ against the correct answer in the following:
The general solution of the $D E \frac{d y}{d x}=\left(\sqrt{1-x^{2}}\right)\left(\sqrt{1-y^{2}}\right)$ is
A. $\sin ^{-1} y-\sin ^{-1} x=x \sqrt{1-x^{2}}+C$
B. $2 \sin ^{-1} y-\sin ^{-1} x=x \sqrt{1-x^{2}}+C$
C. $2 \sin ^{-1} y-\sin ^{-1} x=C$
D. None of these
Solution:

