Mark against the correct answer in the following:
Question:
Mark $(\sqrt{ })$ against the correct answer in the following:
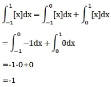
Let $[x]$ denote the greatest integer less than or equal to $x$.
Then, $\int_{-1}^{1}[x] d x=?$
A. $-1$
B. 0
C. $\frac{1}{2}$
D. 2
Solution:
