Question:
Mark $(\sqrt{)}$ against the correct answer in the following:
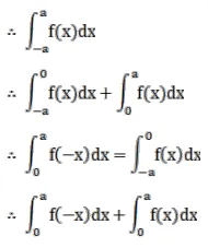
$\int_{-a}^{a} f(x) d x=?$
A. $2 \int_{0}^{a}\{f(x)+f(-x)\} d x$
B. $2 \int_{0}^{a}\{f(x)-f(-x)\} d x$
C. $\int_{0}^{\mathrm{a}}\{\mathrm{f}(\mathrm{x})+\mathrm{f}(-\mathrm{x})\} \mathrm{dx}$
D. none of these
Solution:
