Mark against the correct answer in the following:
Question:
Mark $(\sqrt{)}$ against the correct answer in the following:
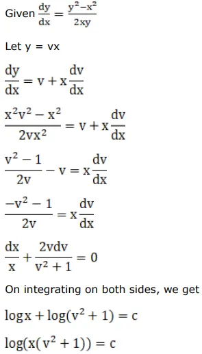
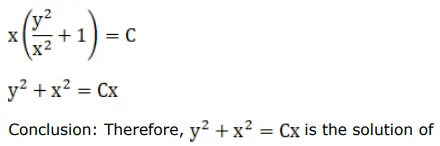
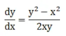
The general solution of the $D E \frac{d y}{d x}=\frac{y^{2}-x^{2}}{2 x y}$ is
A. $x^{2}-y^{2}=C_{1} x$
B. $x^{2}+y^{2}=C_{1} y$
C. $x^{2}+y^{2}=C_{1} x$
D. None of these
Solution:


