Mark against the correct answer in the following:

Question:

Mark $(\sqrt{ })$ against the correct answer in the following:

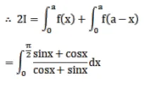
$\int_{0}^{\pi / 2} \frac{\tan x}{(1+\tan x)} d x=?$

A. 0

B. 1

C. $\frac{\pi}{4}$

D. $\pi$

Solution:

Leave a comment