Mark against the correct answer in the following:
Question:
Mark $(\sqrt{ })$ against the correct answer in the following:
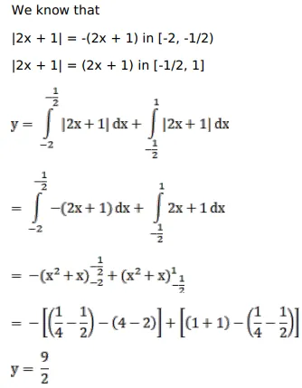
$\int_{-2}^{1}|2 x+1| d x=?$
A. $\frac{5}{2}$
B. $\frac{7}{2}$
C. $\frac{9}{2}$
D. 0
Solution:
