Mark against the correct answer in the following:

Question:

Mark $(\sqrt{ })$ against the correct answer in the following:

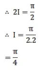
$\int_{0}^{\pi / 2} \frac{\sec ^{5} x}{\left(\sec ^{5} x+\operatorname{cosec}^{5} x\right)} d x=?$

A. $\frac{\pi}{2}$

B. 0

C. $\frac{\pi}{4}$

D. $\pi$

Solution:

Leave a comment