Mark against the correct answer in the following:

Question:

Mark $(\sqrt{)}$ against the correct answer in the following:

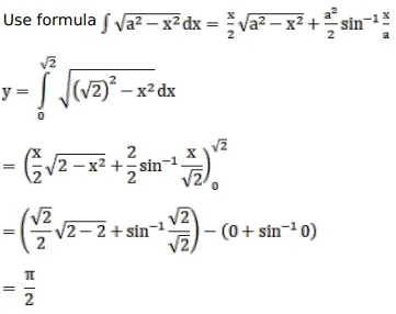
$\int_{0}^{\sqrt{2}} \sqrt{2-x^{2}} d x=?$

A. $\pi$

B. $2 \pi$

C. $\frac{\pi}{2}$

D. none of these

Solution:

Leave a comment