Mark against the correct answer in the following:

Question:

Mark $(\sqrt{)}$ against the correct answer in the following:

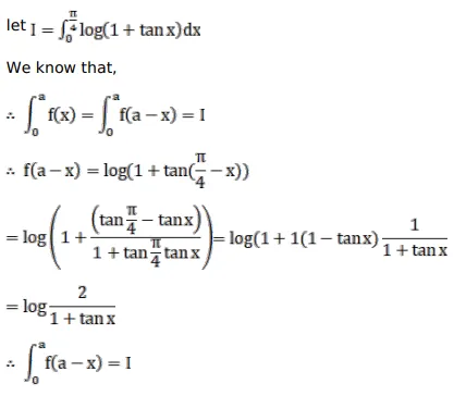
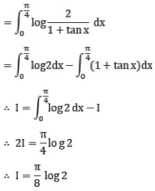
$\int_{0}^{\pi / 4} \log (1+\tan x) d x=?$

A. $\frac{\pi}{4}$

B. $\frac{\pi}{4} \log 2$

C. $\frac{\pi}{8} \log 2$

D. 0

Solution:

Leave a comment