Mark against the correct answer in the following:
Question:
Mark $(\sqrt{ })$ against the correct answer in the following:
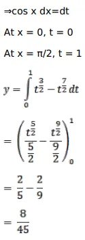
$\int_{0}^{\pi / 2}(\sqrt{\sin x} \cos x)^{3} d x=?$
A. $\frac{2}{9}$
B. $\frac{2}{15}$
C. $\frac{8}{45}$
D. $\frac{5}{2}$
Solution:

