Mark against the correct answer in the following:

Question:

Mark $(\sqrt{)}$ against the correct answer in the following:

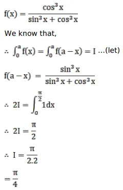
$\int_{0}^{\pi / 2} \frac{1}{\left(1+\tan ^{3} x\right)} d x=?$

A. $\frac{\pi}{4}$

B. 0

C. $\frac{\pi}{2}$

D. none of these

Solution:

Leave a comment