Mark the tick against the correct answer in the following:
Question:
Mark the tick against the correct answer in the following:
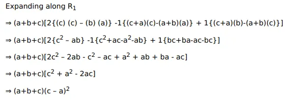
$\left|\begin{array}{lll}b+c & a & b \\ c+a & c & a \\ a+b & b & c\end{array}\right|=?$
A. $(a+b+c)(a-c)$
B. $(a+b+c)(b-c)$
C. $(a+b+c)(a-c)^{2}$
D. $(a+b+c)(b-c)^{2}$
Solution:

