Mark the tick against the correct answer in the following:

Question:

Mark the tick against the correct answer in the following:

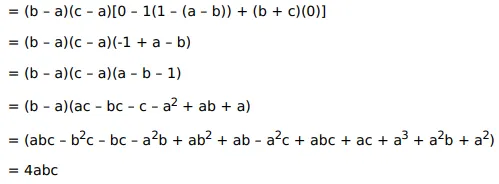
$\left|\begin{array}{lll}a & 1 & b+c \\ b & 1 & c+a \\ c & 1 & a+b\end{array}\right|=?$

A. $a+b+c$

B. $2(a+b+c)$

C. $4 a b c$

D. $a^{2} b^{2} c^{2}$

Solution:

 

Leave a comment