Question:
Mark the tick against the correct answer in the following:
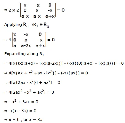
The solution set of the equation $\left|\begin{array}{lll}a+x & a-x & a-x \\ a-x & a+x & a-x \\ a-x & a-x & a+x\end{array}\right|=0$ is
A. $\{a, 0\}$
B. $\{3 a, 0\}$
C. $\{a, 3 a\}$
D. None of these
Solution:

