Match List-I with List-II
List-I

(c) $2 \mathrm{CH}_{3} \mathrm{CH}_{2} \mathrm{Cl}+2 \mathrm{Na} \stackrel{\text { Ether }}{\longrightarrow} \mathrm{C}_{2} \mathrm{H}_{5}-\mathrm{C}_{2} \mathrm{H}_{5}+2 \mathrm{NaCl}$
(d) $2 \mathrm{C}_{6} \mathrm{H}_{5} \mathrm{Cl}+2 \mathrm{Na} \stackrel{\text { Ether }}{\longrightarrow} \mathrm{C}_{6} \mathrm{H}_{5}-\mathrm{C}_{6} \mathrm{H}_{5}+2 \mathrm{NaCl}$
List-II
(i) Wurtz reaction
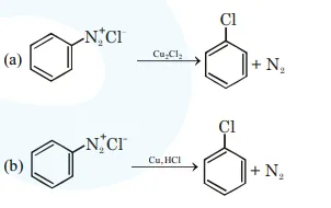
(ii) Sandmeyer reaction
(iii) Fittig reaction
(iv) Gatterman reaction
Choose the correct answer from the options given below :
Correct Option: , 3
(a) $\rightarrow$ (ii) Sand Meyer reaction
(b) $\rightarrow$ (iv) Gatterman reaction
(c) $\rightarrow$ (i) Wurtz reaction
(d) $\rightarrow$ (iii) Fittig reaction
(a) $\rightarrow$ (ii),
(b) $\rightarrow$ (iv),
(c) $\rightarrow$ (i),
(d) $\rightarrow$ (iii)