Question:
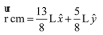
The position vector of the centre of mass $\mathrm{r}_{\mathrm{cm}}$ of an asymmetric uniform bar of negligible area of cross-section as shown in figure is:

Correct Option: 1,
Solution:

$X_{\mathrm{cm}}=\frac{2 \mathrm{~mL}+2 \mathrm{~mL}+\frac{5 \mathrm{~mL}}{2}}{4 \mathrm{~m}}=\frac{13}{8} \mathrm{~L}$
$y$-coordinate of centre of mass is
$Y_{c m}=\frac{2 m \times L+m \times\left(\frac{L}{2}\right)+m \times 0}{4 m}=\frac{5 L}{8}$



