Solve this following
Question:
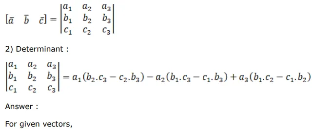
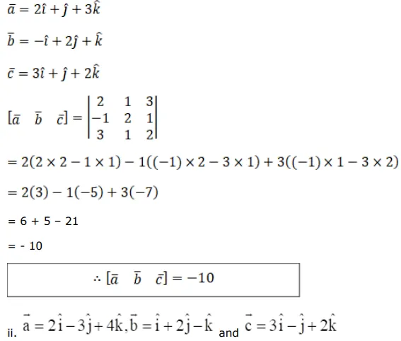
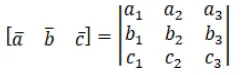
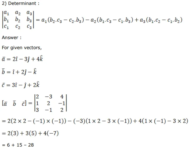
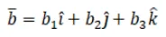
Find $\left[\begin{array}{lll}\vec{a} & \vec{b} & \vec{c}\end{array}\right]$, when
i. $\vec{a}=2 \hat{i}+\hat{j}+3 \hat{k}, \vec{b}=-\hat{i}+2 \hat{j}+\hat{k}$ and $\vec{c}=3 \hat{i}+\hat{j}+2 \hat{k}$.
ii. $\overrightarrow{\mathrm{a}}=2 \hat{\mathrm{i}}-3 \hat{\mathrm{j}}+4 \hat{\mathrm{k}}, \overrightarrow{\mathrm{b}}=\hat{\mathrm{i}}+2 \hat{\mathrm{j}}-\hat{\mathrm{k}}$ and $\overrightarrow{\mathrm{c}}=3 \hat{\mathrm{i}}-\hat{\mathrm{j}}+2 \hat{\mathrm{k}}$
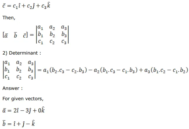
iii. $\overrightarrow{\mathrm{a}}=2 \hat{\mathrm{i}}-3 \hat{\mathrm{j}}, \overrightarrow{\mathrm{b}}=\hat{\mathrm{i}}+\hat{\mathrm{j}}-\hat{\mathrm{k}}$ and $\overrightarrow{\mathrm{c}}=3 \hat{\mathrm{i}}-\hat{\mathrm{k}}$
Solution:









