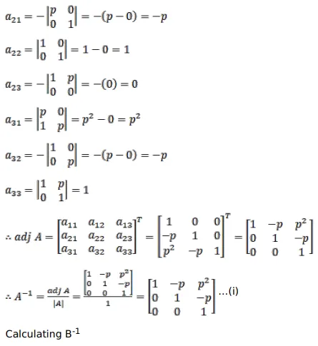
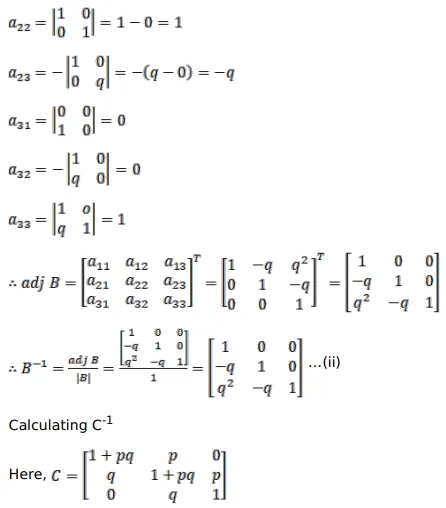
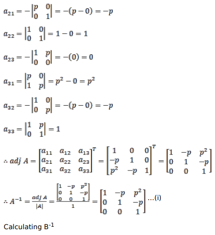
Question:
Obtain the inverses of the matrices $\left[\begin{array}{ccc}1 & \mathrm{p} & 0 \\ 0 & 1 & \mathrm{p} \\ 0 & 0 & 1\end{array}\right]$ and $\left[\begin{array}{lll}1 & 0 & 0 \\ \mathrm{q} & 1 & 0 \\ 0 & \mathrm{q} & 1\end{array}\right]$. And, hence find the inverse of the matrix
$\left[\begin{array}{ccc}1+\mathrm{pq} & \mathrm{p} & 0 \\ \mathrm{q} & 1+\mathrm{pq} & \mathrm{p} \\ 0 & \mathrm{q} & 1\end{array}\right]$
Solution:







