Question.
Pratyush took sulphur powder on a spatula and heated it. He collected the gas evolved by inverting a test tube over it, as shown in figure below.
(a)What will be the action of gas on
(i) dry litmus paper?
(ii) moist litmus paper?
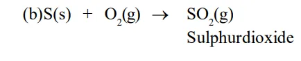
(b)Write a balanced chemical equation for the reaction taking place.
Pratyush took sulphur powder on a spatula and heated it. He collected the gas evolved by inverting a test tube over it, as shown in figure below.
(a)What will be the action of gas on
(i) dry litmus paper?
(ii) moist litmus paper?
(b)Write a balanced chemical equation for the reaction taking place.
solution:
(a)(i) There will be no action on dry litmus paper.
(ii)Since the gas is sulphur dioxide $\left(\mathrm{SO}_{2}\right)$, it turns moist blue litmus paper to red because sulphur
dioxide reacts with moisture to form sulphurous acid.
(a)(i) There will be no action on dry litmus paper.
(ii)Since the gas is sulphur dioxide $\left(\mathrm{SO}_{2}\right)$, it turns moist blue litmus paper to red because sulphur
dioxide reacts with moisture to form sulphurous acid.