Prove that

Question:

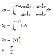
Prove that

$\int_{0}^{\pi / 2} \frac{\cos ^{1 / 4} x}{\left(\sin ^{1 / 4} x+\cos ^{1 / 4} x\right)} d x=\frac{\pi}{4}$

Solution:

Leave a comment