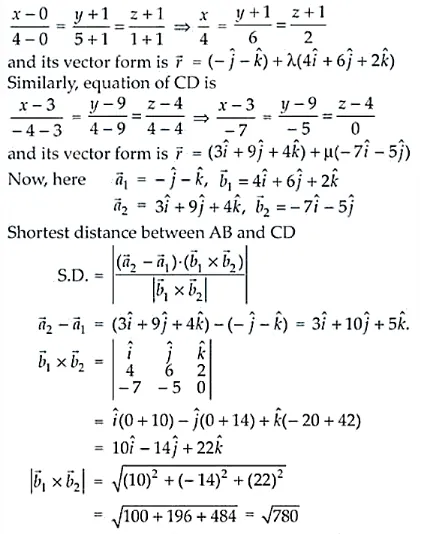
Prove that the line through A (0, –1, –1) and B (4, 5, 1)
Question:
Prove that the line through A (0, –1, –1) and B (4, 5, 1) intersects the line through C (3, 9, 4) and D (– 4, 4, 4).
Solution:
Given points, A (0, –1, –1) and B (4, 5, 1)
C (3, 9, 4) and D (– 4, 4, 4).
Cartesian form of equation AB is

