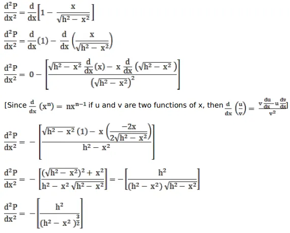
Prove that the perimeter of a right-angled triangle of given hypotenuse is maximum when the triangle is isosceles.

Question:

Prove that the perimeter of a right-angled triangle of given hypotenuse is maximum when the triangle is isosceles.

Solution:

Given,

 

Leave a comment

Comments

Dal lian kim
Jan. 22, 2025, 6:13 p.m.
I am so useful for this answer. Thanks.