Prove the following

Question:

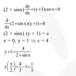
If $(2+\sin x) \frac{d y}{d x}+(y+1) \cos x=0$ and $y(0)=1$, then $y\left(\frac{\pi}{2}\right)$ is equal to :-

  1. $\frac{4}{3}$

  2. $\frac{1}{3}$

  3. $-\frac{2}{3}$

  4. $-\frac{1}{3}$


Correct Option: , 2

Solution:

Leave a comment