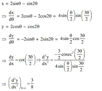
Question: If $x=2 \sin \theta-\sin 2 \theta$ and $y=2 \cos \theta-\cos 2 \theta$, $\theta \in[0,2 \pi]$, then $\frac{\mathrm{d}^{2} \mathrm{y}}{\mathrm{dx}^{2}}$ at $\theta=\pi$ is :
$\frac{3}{2}$
$-\frac{3}{4}$
$\frac{3}{4}$
$-\frac{3}{8}$
Correct Option: , 4
Solution:

