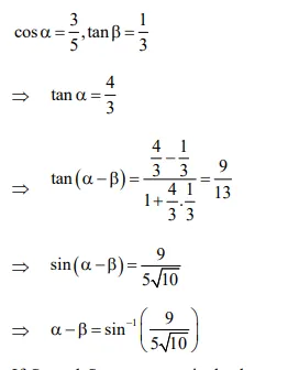
Question: If $\alpha=\cos ^{-1}\left(\frac{3}{5}\right), \beta=\tan ^{-1}\left(\frac{1}{3}\right)$, where $0<\alpha, \beta<\frac{\pi}{2}$, then $\alpha-\beta$ is equal to :
$\sin ^{-1}\left(\frac{9}{5 \sqrt{10}}\right)$
$\tan ^{-1}\left(\frac{9}{14}\right)$
$\cos ^{-1}\left(\frac{9}{5 \sqrt{10}}\right)$
$\tan ^{-1}\left(\frac{9}{5 \sqrt{10}}\right)$
Correct Option: 1
Solution:
