Prove the following

Question:

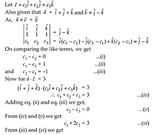
If $\vec{a}=\hat{i}+\hat{j}+\hat{k}$ and $\vec{b}=\hat{j}-\hat{k}$, find a vector $\vec{c}$ such that $\vec{a} \times \vec{c}=\vec{b}$ and $\vec{a} \cdot \vec{c}=3$.

Solution:

Leave a comment