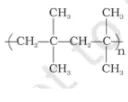
is a polymer having monomer units ____________.
Option (i) is the answer.
Share via...
Or copy link
Leave a comment
All Study Material