Prove the following

Question:

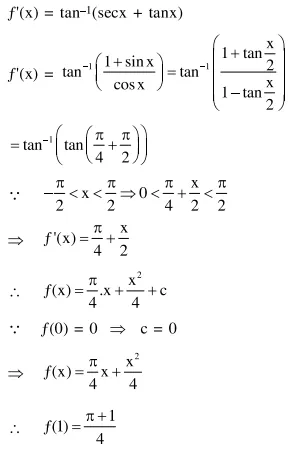
If $f^{\prime}(x)=\tan ^{-1}(\sec x+\tan x),-\frac{\pi}{2}

$f(0)=0$, then $f(1)$ is equal to :

  1. $\frac{\pi-1}{4}$

  2. $\frac{\pi+2}{4}$

  3. $\frac{\pi+1}{4}$

  4. $\frac{1}{4}$


Correct Option: , 3

Solution:

Leave a comment