Prove the following

Question:

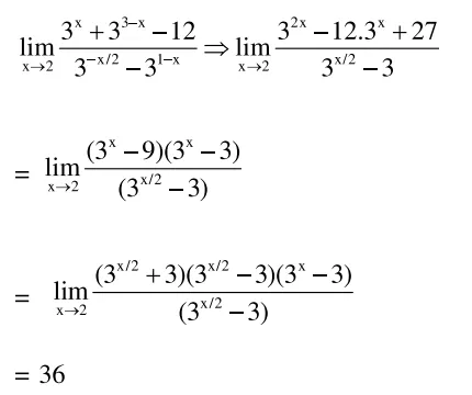
$\lim _{x \rightarrow 2} \frac{3^{x}+3^{3-x}-12}{3^{-x / 2}-3^{1-x}}$ is equal to___________.

Solution:

Leave a comment