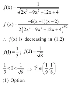
Question: If $I=\int_{1}^{2} \frac{d x}{\sqrt{2 x^{3}-9 x^{2}+12 x+4}}$, then :
$\frac{1}{9}<\mathrm{I}^{2}<\frac{1}{8}$
$\frac{1}{16}<\mathrm{I}^{2}<\frac{1}{9}$
$\frac{1}{6}<\mathrm{I}^{2}<\frac{1}{2}$
$\frac{1}{8}<\mathrm{I}^{2}<\frac{1}{4}$
Correct Option: 1
Solution:
