Prove the following

Question:

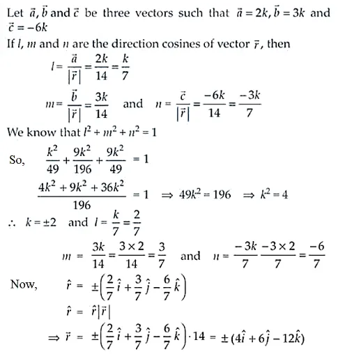
A vector NCERT Exemplar Solutions Class 12 Mathematics Chapter 10 - 17has magnitude 14 and direction ratios 2, 3, – 6. Find the direction cosines and components ofNCERT Exemplar Solutions Class 12 Mathematics Chapter 10 - 18 , given thatNCERT Exemplar Solutions Class 12 Mathematics Chapter 10 - 19 makes an acute angle with x-axis.

Solution:

Leave a comment