Prove the following

Question:

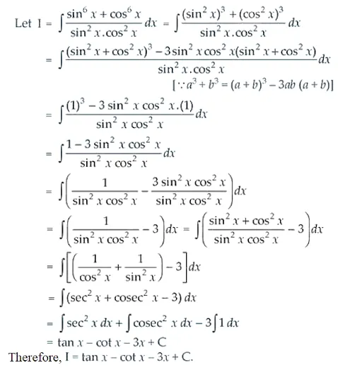
$\int \frac{\sin ^{6} x+\cos ^{6} x}{\sin ^{2} x \cos ^{2} x} d x$

Solution:

Leave a comment