Prove the following

Question:

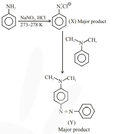
Considering the above reaction, $X$ and $Y$ respectively are:


Correct Option: , 2

Solution:

Leave a comment