Prove the following identities.

Question:

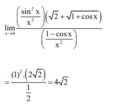
$\lim _{x \rightarrow 0} \frac{\sin ^{2} x}{\sqrt{2}-\sqrt{1+\cos x}}$ equals :

  1. $2 \sqrt{2}$

  2. $4 \sqrt{2}$

  3. $\sqrt{2}$

  4. 4


Correct Option: , 2

Solution:

Leave a comment