Prove the following identities.

Question:

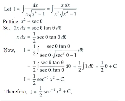
$\int \frac{d x}{x \sqrt{x^{4}-1}}$                  $\left(\right.$ Hint : Put $\left.x^{2}=\sec \theta\right)$

Solution:

Leave a comment