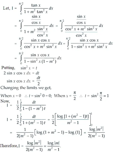
Prove the following identities.

Question:

$\int_{0}^{\frac{\pi}{2}} \frac{\tan x d x}{1+m^{2} \tan ^{2} x}$

Solution:

Leave a comment