Show that a rectangle of maximum perimeter

Question:

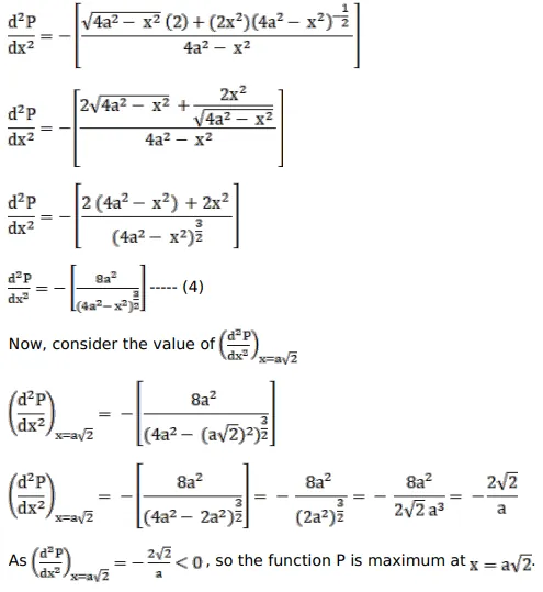
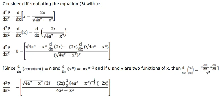
Show that a rectangle of maximum perimeter which can be inscribed in a circle of radius a is a square of side $\sqrt{2} \mathrm{a}$.

Solution:

Leave a comment