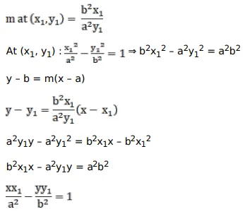
Show that the equation of the tangent to the hyperbola
Download now India's Best Exam Prepration App
Class 8-9-10, JEE & NEET
Video Lectures
Live Sessions
Study Material
Tests
Previous Year Paper
Revision
Question:
Show that the equation of the tangent to the hyperbola $\frac{x^{2}}{a^{2}}-\frac{y^{2}}{b^{2}}=1$ at $\left(x_{1}, y_{1}\right)$ is $\frac{x_{1}}{a^{2}}-\frac{y y_{1}}{b^{2}}=1$.