Show that the four points with position vectors

Question:

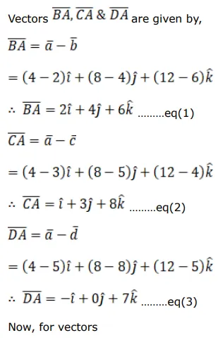
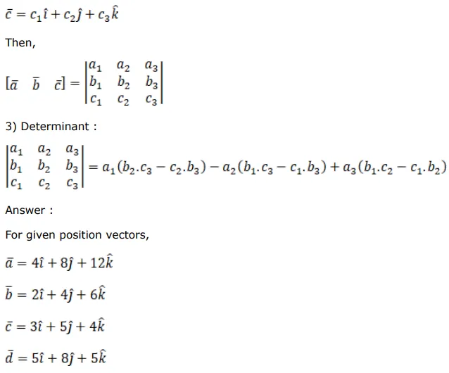
Show that the four points with position vectors $(4 \hat{i}+8 \hat{j}+12 \hat{k}),(2 \hat{i}+4 \hat{j}+6 \hat{k})$ $(3 \hat{j}+5 \hat{j}+4 \hat{k})$ 

and $(5 \hat{\mathrm{i}}+8 \hat{\mathrm{j}}+5 \hat{\mathrm{k}})$ are coplanar.

Solution:

Leave a comment