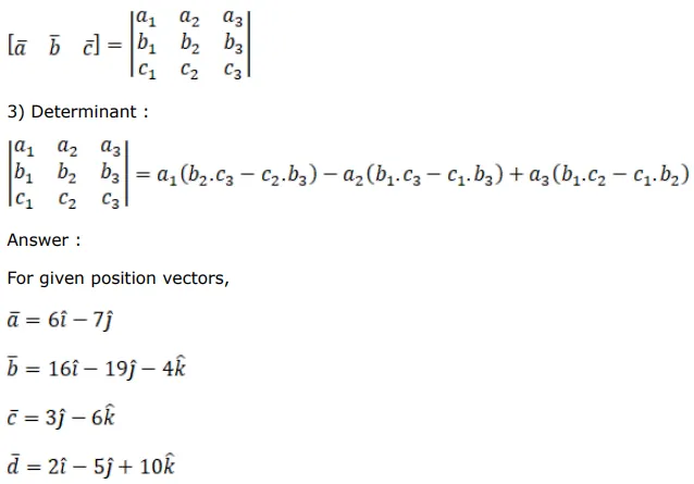
Question:
Show that the four points with position vectors $(6 \hat{\mathrm{i}}-7 \hat{\mathrm{j}}),(16 \hat{\mathrm{i}}-19 \hat{\mathrm{j}}-4 \hat{\mathrm{k}}),(3 \hat{\mathrm{j}}-6 \hat{\mathrm{k}})$ $(2 \hat{\mathrm{i}}-5 \hat{\mathrm{j}}+10 \hat{\mathrm{k}})$ are coplanar.
Solution:





