Question:
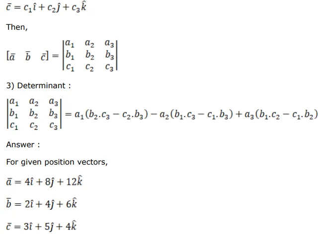
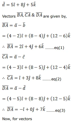
Show that the four points with position vectors $(4 \hat{\mathrm{i}}+8 \hat{\mathrm{j}}+12 \hat{\mathrm{k}}),(2 \hat{\mathrm{i}}+4 \hat{\mathrm{j}}+6 \hat{\mathrm{k}})$ $(3 \hat{j}+5 \hat{j}+4 \hat{k})$ and $(5 \hat{\mathrm{i}}+8 \hat{\mathrm{j}}+5 \hat{\mathrm{k}})$ are coplanar.
Solution:






