Show that the lines

Question:

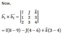
Show that the lines $\bar{r}=(2 \hat{j}-3 \hat{k})+\hat{\lambda}(\hat{j}+2 \hat{j}+3 \hat{k})$ and $\bar{r}=(2 \hat{i}+6 \hat{j}+3 \hat{k})+\mu(2 \hat{i}+3 \hat{j}+4 \hat{k})$ are coplanar.

Also find the equation of the plane containing these lines.

Solution:

Leave a comment