Show that the matrix

Question:

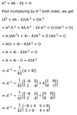
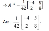
Show that the matrix $A=\left[\begin{array}{cc}-8 & 5 \\ 2 & 4\end{array}\right]$ satisfies the equation $\square^{2}+4 \square-42=0$ and hence find $A^{-1}$.

Solution:

 

Leave a comment